Trong lĩnh vực trắc địa, việc tạo lập bản đồ chính xác là vô cùng quan trọng, phục vụ cho nhiều lĩnh vực như xây dựng, quy hoạch, quản lý đất đai. Để đạt được độ chính xác cao nhất, các nhà trắc địa sử dụng nhiều phương pháp toán học. Hôm nay hãy cùng Việt Thanh Group tìm hiểu về phương pháp bình sai đường chuyền kinh vĩ khép kín qua bài viết dưới đây.
Bình sai đường chuyền kinh vĩ khép kín là gì?
Bình sai đường chuyền kinh vĩ khép kín là phương pháp toán học nhằm điều chỉnh các số liệu đo góc, khoảng cách thu được trên một đường chuyền kinh vĩ khép kín để đảm bảo các điều kiện hình học và số liệu đo được chính xác nhất.

Phương pháp bình sai đường chuyền kinh vĩ khép kín thường được sử dụng để:
- Đo đạc bản đồ địa hình: Bình sai đường chuyền giúp điều chỉnh các số liệu đo góc, khoảng cách để tạo lập bản đồ có độ chính xác cao.
- Đo đạc ranh giới thửa đất: Đảm bảo ranh giới thửa đất được đo đạc chính xác, không sai sót.
- Đo đạc thi công xây dựng: Kiểm tra độ chính xác của các hạng mục thi công, đảm bảo công trình được thi công đúng theo thiết kế.
>>> Xem thêm: Dịch vụ đo đạc bản đồ
Công thức tính theo phương pháp bình sai đường chuyền kinh vĩ khép kín
Giả sử ta có một đường chuyền khép kín gồm n đỉnh với các góc đo được tại mỗi đỉnh và chiều dài các cạnh giữa các đỉnh.
Dữ Liệu Đo Đạc
- Các góc đo được tại mỗi đỉnh: α1,α2,…,αn
- Chiều dài các cạnh: d1,d2,…,dn
- Góc phương vị đo được: A1
Tính Toán Ban Đầu
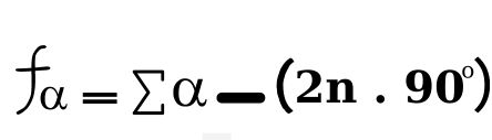
Góc tổng hợp:

Sai số góc khép kín:

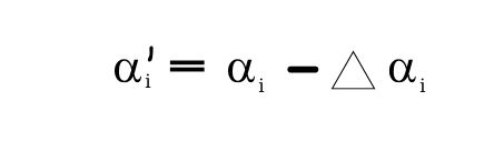
Sai số góc phân bố cho mỗi góc:

Góc điều chỉnh:

Tính Góc Phương Vị
Góc phương vị điều chỉnh:

Đảm bảo rằng:

Tọa Độ Đỉnh
Tọa độ các đỉnh:

Tính tổng:

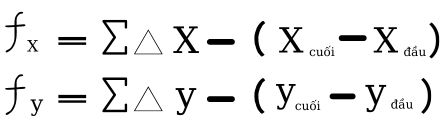
Sai Số Khép Kín
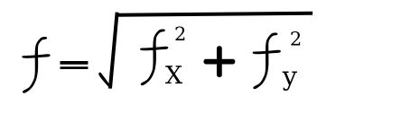
Sai số khép kín tọa độ:

Sai số tương đối:

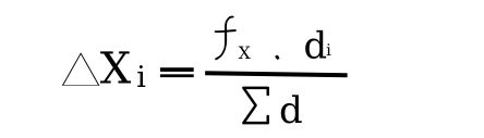
Điều Chỉnh Tọa Độ
Sai số phân bố cho mỗi cạnh:


Tọa độ điều chỉnh:

Sau khi thực hiện các bước trên, ta sẽ có được các tọa độ chính xác của các đỉnh của đường chuyền khép kín đã được điều chỉnh.
Kiểm tra kết quả:
- So sánh sai số với tiêu chuẩn cho phép: Nếu sai số nhỏ hơn hoặc bằng tiêu chuẩn cho phép thì kết quả bình sai được chấp nhận.
- Điều chỉnh lại số liệu đo: Nếu sai số vượt quá tiêu chuẩn cho phép thì cần điều chỉnh lại số liệu đo.
Ưu điểm của phương pháp bình sai đường chuyền kinh vĩ khép kín:
- Độ chính xác cao: Giúp điều chỉnh các số liệu đo góc, khoảng cách để đạt được độ chính xác cao.
- Dễ sử dụng: Có các công thức toán học rõ ràng, dễ hiểu và dễ áp dụng.
- Có thể áp dụng cho nhiều trường hợp: Như đo đạc bản đồ địa hình, đo đạc ranh giới thửa đất, đo đạc thi công xây dựng.
Nhược điểm của phương pháp bình sai đường chuyền kinh vĩ khép kín:
- Cần dữ liệu đo chính xác: Chỉ có thể đạt hiệu quả cao nếu dữ liệu đo góc, khoảng cách thu được chính xác.
- Có thể mất thời gian: Việc thực hiện bình sai có thể mất thời gian, đặc biệt là khi số lượng điểm đo nhiều.
>>> Xem thêm: Hướng dẫn kiểm nghiệm sau gốc máy thủy bình
Tìm hiểu về lưới đường chuyền kinh vĩ
Lưới đường chuyền kinh vĩ là một hệ thống các điểm đo đạc được bố trí theo hình dạng mạng lưới trên mặt đất, được sử dụng để tạo lập bản đồ địa hình, địa chính, thửa đất.
Lưới đường chuyền kinh vĩ bao gồm:
- Các điểm mốc: Là những điểm có tọa độ đã biết được xác định bằng phương pháp đo đạc chính xác cao.
- Các đường chuyền: Là những đường thẳng nối liền các điểm mốc.
- Các điểm đo: Là những điểm cần xác định tọa độ nằm trên các đường chuyền.
Lưới đường chuyền kinh vĩ được phân loại theo nhiều tiêu chí khác nhau như:
- Theo cấp độ:
- Lưới cấp nhà nước: Được sử dụng cho các công tác đo đạc bản đồ địa hình có tỷ lệ từ 1/50.000 trở lên.
- Lưới cấp khu vực: Cho các công tác đo đạc bản đồ địa hình có tỷ lệ từ 1/50.000 đến 1/10.000.
- Lưới cấp đo vẽ: Cho công tác đo đạc bản đồ địa chính, thửa đất có tỷ lệ từ 1/10.000 đến 1/500.
- Theo hình dạng:
- Lưới tam giác: Lưới được tạo thành từ các tam giác có đỉnh là các điểm mốc.
- Lưới tứ giác: Lưới được tạo thành từ các tứ giác có đỉnh là các điểm mốc.
- Lưới hỗn hợp: Lưới được tạo thành từ sự kết hợp của các tam giác và tứ giác.
>>> Xem thêm: Định vị công trình bằng máy kinh vĩ
Hy vọng bài viết trên đã cung cấp cho các bạn một số thông tin về bình sai đường chuyền kinh vĩ khép kín và lưới đường chuyền kinh vĩ. Đừng quên theo dõi chúng tôi để cập nhập thông tin mới nhất liên quan đến trắc địa công trình. Việt Thanh Group là đơn vị vung cấp thiết bị đo đạc chính hãng như máy thủy bình, máy toàn đạc điện tử, máy GPS RTK ...Liên hệ ngay hotline 0972.819.598 để được hỗ trợ và ư vấn




Be the first to review “Phương pháp bình sai đường chuyền kinh vĩ khép kín”