Công thức tính độ lún của đất đóng vai trò quan trọng trong lĩnh vực trắc địa và xây dựng, giúp các kỹ sư, nhà thầu và chuyên gia đánh giá mức độ ổn định của nền đất. Đây là yếu tố quyết định khả năng chịu tải của công trình, ảnh hưởng trực tiếp đến độ an toàn và tuổi thọ của các tòa nhà, cầu đường hay hệ thống giao thông. Việt Thanh Group sẽ cung cấp chi tiết về công thức tính độ lún của đất, đồng thời chia sẻ các phương pháp ứng dụng thực tế nhằm hỗ trợ bạn hiểu rõ và áp dụng máy thủy bình giúp hiệu quả trong công việc.
>>> Xem thêm: Máy định vị 2 tần số RTK đảm bảo đo đạc hiệu quả và chính xác.
Tìm hiểu công thức tính độ lún của đất là gì?

Độ lún của đất là hiện tượng nền đất bị nén chặt dưới tác động của tải trọng bên trên, dẫn đến việc giảm thể tích và sự thay đổi cao độ bề mặt đất. Để tính toán độ lún chính xác, các chuyên gia thường sử dụng các công thức phổ biến dựa trên các yếu tố như loại đất, tải trọng tác động và thời gian.
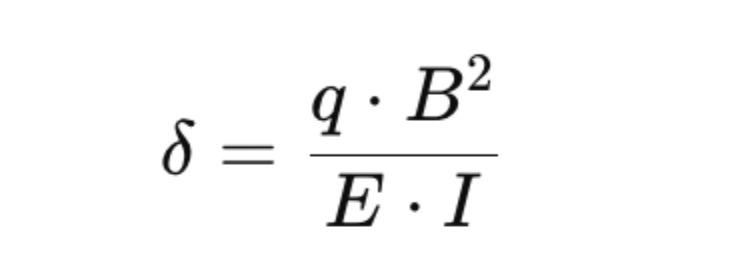
Công thức tính cơ bản:

Trong đó:
- δ: Độ lún (thường tính bằng mm hoặc cm)
- q: Tải trọng phân bố (kN/m²)
- B: Bề rộng của móng (m)
- E: Mô đun đàn hồi của đất (kN/m²)
- I: Khoảng cách lún, liên quan đến tính chất của đất (đơn vị m)
Ngoài ra, nếu là đất cát hoặc đất sét, các công thức tính độ lún có thể phức tạp hơn, vì nó cần phải tính đến các yếu tố khác như hệ số nén của đất, độ ẩm và các yếu tố địa chất khác. Một công thức khác thường được áp dụng cho đất mềm là:

Ở đây, μ là tỷ lệ Poisson và ν là hệ số nén của đất.
Tuỳ thuộc vào loại đất và điều kiện cụ thể, việc tính toán độ lún có thể cần các phương pháp phức tạp hơn, như phương pháp phân tích bằng phần mềm mô phỏng hoặc các thí nghiệm thực tế.
>>> Tham khảo thêm: Các dự án bàn giao thiết bị đo đạc uy tín tại Việt Thanh Group.
Những lưu ý khi tính độ lún của đất là gì?
Để đạt được kết quả chính xác, bạn cần lưu ý một số điểm sau:
- Kiểm tra dữ liệu địa chất: Số liệu đo đạc phải chính xác và đầy đủ.
- Sử dụng thiết bị đo đạc chất lượng cao: Chọn các thiết bị đo chuyên dụng như máy Thủy Bình Sokkia B40A để đảm bảo độ chính xác.
- Xem xét yếu tố thời gian: Đặc biệt là trong trường hợp đất sét, bạn cần tính toán độ lún lâu dài.
Các bước tính toán độ lún của đất như thế nào?

Để sử dụng công thức tính độ lún của đất, bạn cần tuân thủ các bước sau:
Bước 1: Thu thập số liệu
Xác định thông số đất nền
Trước khi áp dụng công thức tính độ lún, cần tiến hành khảo sát địa chất để thu thập các thông số quan trọng, bao gồm:
- Độ rỗng ban đầu (e₀): Tỷ lệ thể tích phần rỗng so với tổng thể tích đất.
- Chỉ số nén lún (C_c): Hệ số biểu thị khả năng đất bị nén lại dưới tải trọng.
- Chiều dày lớp đất yếu (H): Độ dày của lớp đất dễ bị lún do tác động tải trọng.
Công cụ và thiết bị hỗ trợ
Việc thu thập thông số địa chất yêu cầu các thiết bị đo đạc chuyên dụng. Một số thiết bị phổ biến bao gồm:
- Máy đo nén đất: Dùng để đo chỉ số nén lún và tính toán độ rỗng.
- Máy xuyên tiêu chuẩn (SPT): Đánh giá sức chịu tải và độ chặt của đất.
- Máy đo ứng suất: Xác định ứng suất trong đất nền trước và sau khi thêm tải trọng.
- Máy Thủy Bình Sokkia B30A: Đáp ứng tốt các nhu cầu khác như quan trắc lún, đo độ dốc và kiểm tra độ cao cho nhiều loại công trình.
Bước 2: Tính toán ứng suất
Xác định ứng suất ban đầu (σ₀)
Ứng suất ban đầu (σ₀) là lực tác động tự nhiên lên nền đất trước khi tải trọng được áp dụng. Giá trị này thường phụ thuộc vào:
- Trọng lượng của đất: Tính bằng chiều cao lớp đất nhân với trọng lượng riêng của đất.
- Nước ngầm: Độ sâu của mực nước ngầm có thể ảnh hưởng đến áp lực trong đất.
Xác định ứng suất sau khi thêm tải trọng (σ₁)
Ứng suất tăng thêm (Δσ) được tính dựa trên tải trọng công trình phân bố đều hoặc không đều. Công thức tính thường được biểu diễn dưới dạng:

Trong đó:
- q: Tải trọng tác động (kN/m²).
- B: Chiều rộng móng hoặc diện tích chịu tải.
Sau đó, tổng ứng suất (σ₁) được tính bằng:
Bước 3: Áp dụng công thức tính độ lún
Công thức tính độ lún của đất thường được biểu diễn như sau:
Giải thích các thành phần trong công thức
- S: Độ lún của nền đất (m).
- Cc: Chỉ số nén lún, thu thập từ các thí nghiệm nén đất.
- H: Chiều dày lớp đất yếu (m).
- σ1: Ứng suất sau khi thêm tải trọng (kN/m²).
- σ0: Ứng suất ban đầu của đất (kN/m²).
Ví dụ, nếu:
- Độ dày lớp đất yếu H=5mH=5m,
- Chỉ số nén lún Cc=0.2Cc=0.2,
- Ứng suất ban đầu σ0=50kN/m2σ0=50kN/m2,
- Ứng suất sau khi thêm tải trọng σ1=150kN/m2σ1=150kN/m2,
Khi đó, độ lún được tính như sau:
Kết quả: Độ lún của nền đất là 0.477m.
Bước 4: Kiểm tra và phân tích kết quả
So sánh với tiêu chuẩn xây dựng
Sau khi tính toán độ lún, kết quả cần được đối chiếu với các tiêu chuẩn xây dựng để đảm bảo an toàn. Theo quy định, độ lún cho phép thường phụ thuộc vào loại công trình:
- Nhà ở dân dụng: Độ lún cho phép từ 5-10cm.
- Cầu đường: Yêu cầu độ lún thấp hơn, khoảng 2-5cm để đảm bảo độ ổn định.
Xem xét các biện pháp xử lý
Nếu độ lún vượt ngưỡng cho phép, bạn cần cân nhắc các biện pháp xử lý nền móng, bao gồm:
- Gia cố nền đất: Sử dụng cọc tre, cọc bê tông hoặc vải địa kỹ thuật.
- Giảm tải: Điều chỉnh thiết kế công trình để giảm áp lực lên nền đất.
- Thoát nước: Giảm áp suất nước lỗ rỗng trong đất để cải thiện khả năng chịu tải.
>>> Xem thêm: Tìm hiểu các phương pháp tính lún cho nền đất hiệu quả nhất hiện nay
Các yếu tố ảnh hưởng đến công thức tính độ lún của đất

Độ lún của đất phụ thuộc vào nhiều yếu tố khác nhau. Dưới đây là những yếu tố chính:
Loại đất
- Đất sét: Độ lún chậm và kéo dài do khả năng giữ nước cao và đặc tính kết dính.
- Đất cát: Độ lún nhanh nhưng ít so với đất sét, thường xảy ra ngay khi tải trọng tác dụng.
- Đất pha trộn: Độ lún nằm giữa đất sét và đất cát, tùy thuộc vào tỷ lệ các thành phần.
Độ rỗng và độ nén của đất
- Độ rỗng: Đất có độ rỗng cao dễ bị lún hơn khi chịu tải trọng.
- Độ nén: Đất có khả năng nén cao dễ lún hơn. Chỉ số nén lún (C_c) giúp xác định mức độ lún của đất dưới tải trọng.
Tải trọng bên trên
- Tải trọng lớn: Các công trình cao tầng hoặc máy móc nặng tạo ra ứng suất lớn, dẫn đến độ lún cao.
- Tải trọng không đều: Có thể gây lún lệch hoặc nghiêng công trình.
- Lực động: Tải trọng thay đổi theo thời gian (như giao thông) có thể làm độ lún thay đổi nhanh chóng.
Thời gian
- Lún ngay lập tức: Xảy ra ngay khi tải trọng tác dụng, thường ở đất cát hoặc đất ít nén.
- Lún lâu dài: Đặc biệt ở đất sét, lún xảy ra từ từ theo thời gian khi nước bị nén ra khỏi đất.
- Lún theo chu kỳ: Đất có thể nở hoặc nén lại theo sự thay đổi độ ẩm, đặc biệt ở đất sét.
Ứng dụng thực tiễn của công thức tính độ lún của đất
- Đánh giá nền móng trước xây dựng: Công thức này giúp các kỹ sư lựa chọn giải pháp phù hợp cho từng loại nền đất.
- Quản lý rủi ro: Dự đoán độ lún giúp giảm thiểu nguy cơ lún không đồng đều, dẫn đến hư hỏng công trình.
- Hỗ trợ các dự án lớn: Trong xây dựng cầu đường, các công trình nhà cao tầng hoặc dự án gần khu vực đất yếu, tính toán độ lún là bước không thể thiếu.
>>> Xem thêm: Hướng dẫn chi tiết về cách tính lún móng đơn trong xây dựng
Công thức tính độ lún của đất là công cụ quan trọng giúp các chuyên gia trắc địa và xây dựng đảm bảo an toàn và hiệu quả cho các công trình. Việc nắm vững các yếu tố ảnh hưởng, quy trình tính toán, và ứng dụng thực tế sẽ giúp bạn sử dụng công thức này một cách hiệu quả nhất. Đồng thời, hãy luôn cập nhật các công cụ hỗ trợ hiện đại để tối ưu hóa công việc của mình.
Nếu bạn đang tìm kiếm các thiết bị đo đạc chất lượng cao hoặc cần tư vấn thêm về việc tính toán độ lún, đừng ngần ngại liên hệ với chúng tôi qua website hoặc hotline để tham khảo thêm dịch vụ cho thuê thiết bị đo đạc đảm bảo công việc đo đạc của mình luôn đạt hiệu quả cao nhất.




Be the first to review “Hướng dẫn chi tiết về công thức tính độ lún của đất trong trắc địa”