Bố trí công trình là hoạt động căn cứ vào bản thiết kế để xác định các trục, các điểm… nhằm xác định vị trí mặt bằng và độ cao của các hạng mục công trình ngoài thực địa đảm bảo đúng thiết kế. Các phương pháp bố trí điểm công trình nhằm hỗ trợ cho hoạt động này và đóng vai trò quan trọng trong hoạt động trắc địa.
Bố trí công trình là gì?
Bố trí công trình là đo đạc xác định vị trí mặt bằng và độ cao các bộ phận công trình tại thực địa theo đúng bản vẽ thiết kế. Công tác bố trí công trình thường được thực hiện ở giai đoạn thi công, khi kỹ sư công trình cần chuyển thiết kế ra thực địa.
Công tác bố trí công trình có các bước thực hiện ngược với công tác đo vẽ bản đồ. Cụ thể: Khi đo vẽ bản đồ ta phải đo ngoài thực địa với máy toàn đạc điện tử, máy đo RTK…, tính toán rồi vẽ lên thành bản đồ. Còn khi bố trí công trình ta phải căn cứ vào bản thiết kế để tiến hành tính toán những số liệu cần thiết, rồi đo đạc, bố trí công trình ở ngoài thực địa.

Việc bố trí công trình thường được tiến hành theo trình tự sau:
- Bố trí lưới khống chế thi công để làm cơ sở cho việc bố trí công trình (lưới khống chế bố trí công trình).
- Từ lưới khống chế bố trí công trình tiến hành bố trí các trục cơ bản (hay còn gọi là các trục chính) của công trình.
- Từ trục cơ bản tiến hành bố trí các điểm chi tiết đặc trưng của công trình.
- Bố trí các thiết bị (nếu có).
Cơ sở hình học để chuyển bản vẽ thiết kế ra thực địa là các trục dọc, trục ngang và độ cao của mặt quy ước của công trình. Tất cả các kích thước thiết kế đều được xác định tương đối so với các trục và độ cao ấy.
>>> Tham khảo thêm: Bình đồ và mặt cắt địa hình trong ngành Trắc địa
Các phương pháp bố trí điểm công trình
Các điểm đặc trưng của công trình có thể được bố trí theo 4 phương pháp bố trí điểm công trình khác nhau, bao gồm: Phương pháp tọa độ một cực, phương pháp tọa độ vuông góc, phương pháp giao hội góc và phương pháp giao hội cạnh. Ngoài ra, có thể còn có những phương pháp bố trí điểm công trình khác.
Bố trí điểm công trình theo phương pháp tọa độ một cực
Phương pháp tọa độ một cực được áp dụng rất phổ biến, nhất là ở những chỗ quang đãng, tương đối bằng phẳng và khi khoảng cách cực ngắn (s) hơn nhiều chiều dài của thước.

Để bố trí điểm công trình theo phương pháp tọa độ một cực, trước hết cần tính toán những số liệu cần thiết là góc cực β và bán kính cực s, khi đã biết tọa độ khống chế trắc địa A(xA, yA), B(xB, yB) và tọa độ thiết kế điểm C(xC, yC).
Cách bố trí: Đặt máy kinh vĩ tại điểm A, định hướng vành độ ngang về B. Đặt 1 góc β, trên hướng này đặt một đoạn thẳng s. Cố định được điểm C.
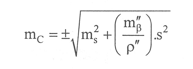
Độ chính xác bố trí điểm C theo phương pháp tọa độ một cực có thể được tính theo công thức:

Trong đó:
- ms: sai số trung phương bố trí bán kính cực, s.
- mβ”: sai số trung phương bố trí góc cực β, giây.
- ρ: 206 265”.
- s: chiều dài bán kính cực (s = AC).
- mC: độ chính xác bố trí điểm C.
Bố trí điểm công trình theo phương pháp tọa độ vuông góc
Phương pháp tọa độ vuông góc được áp dụng nhiều trong bố trí các công trình công nghiệp và dân dụng từ các điểm khống chế của lưới ô vuông xây dựng hay từ đường đỏ trên phố.

Để bố trí điểm công trình theo phương pháp tọa độ vuông góc cần tính số gia tọa độ giữa các điểm đặc trưng của công trình với các đỉnh của lưới ô vuông △x, △y.
Cách bố trí: Đặt đoạn thẳng có số gia tọa độ lớn hơn theo dọc cạnh trục tọa độ của lưới ô vuông, còn số gia tọa độ nhỏ hơn được đặt theo hướng vuông góc với nó.
Giả sử △y > △x. Đặt máy kinh vĩ tại điểm A, định hướng về B, trên hướng này đặt một đoạn AM = △y. Dời máy kinh vĩ đến điểm M, định hướng về B, đặt 1 góc 90°, trên hướng vuông góc này đặt một đoạn thẳng MN = △x. Cố định điểm N lại.
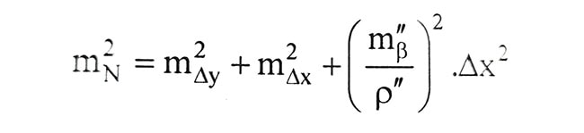
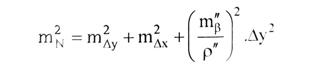
Độ chính xác bố trí điểm N theo phương pháp tọa độ vuông góc có thể được tính theo công thức sau:
+ Khi bố trí theo trục y trước:

+ Khi bố trí theo trục x trước:

Trong đó:
- m△x: sai số trung phương bố trí đoạn △x.
- m△y: sai số trung phương bố trí đoạn △y.
- mβ”: sai số trung phương bố trí góc vuông (giây).
- ρ: 206 265”.
- △x: số gia tọa độ theo trục x.
- △y: số gia tọa độ theo trục y.
- mN: độ chính xác bố trí điểm N.
Bố trí điểm công trình theo phương pháp giao hội góc
Phương pháp giao hội góc thường được áp dụng để bố trí trụ cầu, công trình thủy lợi… khi điểm cần bố trí ở xa điểm khống chế trắc địa và việc đo dài gặp khó khăn.

Để bố trí điểm công trình theo phương pháp giao hội góc, trước hết cần phải tính những số liệu cần thiết cho bố trí là các góc bằng giao hội βA, βB khi đã biết tọa độ khống chế trắc địa A(xA, yA), B(xB, yB) và tọa độ điểm thiết kế C(xC, yC).
Cách bố trí: Đặt 2 máy kinh vĩ ở A và B, định hướng vành độ ngang theo cạnh khống chế AB, tương ứng đặt các góc βA, βB, giao điểm của hai hướng ngắm trên là điểm C cần bố trí sẽ được cố định ngoài thực địa.
Độ chính xác bố trí điểm C theo phương pháp giao hội góc thuận có thể được tính theo công thức sau:

Trong đó:
- mβ”: sai số trung phương bố trí các góc βA, βB (giây), coi mβA” = mβB” = mβ”.
- ρ: 206 265”.
- Góc C = Góc ACB: góc bằng ở điểm được bố trí.
- a = BC: chiều dài cạnh đối diện điểm A.
- b = AC: chiều dài cạnh đối diện điểm B.
- mC: độ chính xác bố trí điểm C.
Điểm cần bố trí sẽ đạt độ chính xác tốt nhất khi góc tại điểm cần bố trí – Góc ACB = 90°.
Bố trí điểm công trình theo phương pháp giao hội cạnh
Phương pháp giao hội cạnh thường được áp dụng khi điểm cần bố trí gần điểm khống chế trắc địa, bán kính giao hội ngắn hơn chiều dài thước, địa hình bằng phẳng, quang đãng.

Để bố trí điểm công trình theo phương pháp giao hội cạnh, trước hết cần tính những số liệu cần thiết cho bố trí là các bán kính giao hội sA, sB, khi đã biết tọa độ khống chế trắc địa A(xA, yA), B(xB, yB) và tọa độ điểm thiết kế C(xC, yC).
Cách bố trí: Lấy A và B làm tâm, theo thước mép quay các cung bán kính tương ứng là sA, sB, chúng giao nhau tại C, đó là điểm cần bố trí sẽ được cố định lại ở ngoài thực địa.
Độ chính xác khi bố trí điểm C theo phương pháp giao hội cạnh có thể được tính theo công thức:

Trong đó:
- ms: sai số trung phương bố trí cạnh sA, sB, (coi msA – msB = ms).
- Góc C: góc bằng ở điểm được bố trí (Góc C = Góc ACB).
Điểm cần bố trí sẽ đạt độ chính xác tốt nhất khi góc tại điểm cần bố trí – Góc ACB = 90°.
Bài viết đã tổng hợp thông tin về bố trí công trình, các phương pháp hỗ trợ bố trí điểm công trình. Để tìm hiểu thêm các thiết bị đo đạc hỗ trợ cho công tác trắc địa, mời bạn liên hệ Việt Thanh Group để được tư vấn thêm.



Be the first to review “Bố trí công trình là gì? Các phương pháp bố trí điểm công trình”