Để xác định diện tích chính xác dựa trên tỉ lệ bản đồ các kỹ sư cần các công cụ cũng như công thức tính diện tích trên bản đồ. Vậy công thức đó được áp dụng như thế nào, mời các bạn đến với bài viết sau của Việt Thanh Group.
>> Với chức năng chính là đo chênh lệch cao độ giữa các điểm, máy thủy bình đóng vai trò quan trọng trong việc xác định địa hình, tạo ra các bản đồ địa hình chi tiết và chính xác.
Công thức tính diện tích trên bản đồ
Bước 1: Xác định tỉ lệ bản đồ
Tỉ lệ bản đồ là một yếu tố quan trọng, thể hiện mối quan hệ giữa khoảng cách đo được trên bản đồ và khoảng cách tương ứng trên thực địa. Tỉ lệ bản đồ thường được biểu diễn dưới dạng phân số (ví dụ: 1/1000, 1/5000) hoặc dưới dạng thước tỉ lệ.
Bước 2: Đo kích thước trên bản đồ
- Sử dụng công cụ đo: Dùng thước kẻ hoặc compa để đo chính xác chiều dài và chiều rộng của khu vực cần tính diện tích trên bản đồ. Đơn vị đo thường là centimet (cm).
- Ghi lại số liệu: Ghi lại các số đo vừa đo được vào sổ tay hoặc phần mềm tính toán.
>>Xem thêm: App tính diện tích đất: Công cụ đắc lực trong quản lý đất đai

Bước 3: Áp dụng công thức tính diện tích trên bản đồ
- Công thức chung: Diện tích thực tế = (Chiều dài trên bản đồ x Chiều rộng trên bản đồ) / (Tỉ lệ bản đồ)²
- Ví dụ: Giả sử ta có một khu đất hình chữ nhật trên bản đồ với chiều dài trên bản đồ = 4cm, chiều rộng trên bản đồ = 3cm và tỉ lệ bản đồ = 1:2000. Vậy diện tích thực tế sẽ bằng (4 cm x 3 cm) / (1/2000)² = 48.000.000 cm² = 4800 m²
Lưu ý: Để việc tính toán trở nên chính xác, nên chuyển đổi các đơn vị sang thành một đơn vị nhất định để phù hợp với yêu cầu.
Tham khảo: máy thủy bình Leica, máy thủy bình Sokkia, máy thủy bình Satlab, máy thủy bình Hi-Target
Tìm hiểu về công thức tính diện tích trên bản đồ
Đo diện tích trên bản đồ là quá trình chuyển đổi thông tin hình học trên bản đồ thành diện tích thực tế của một khu vực. Để đạt được độ chính xác cao, người ta cần sử dụng các công cụ đo lường chuyên dụng và hiểu rõ về tỉ lệ bản đồ.
Tầm quan trọng của việc nắm rõ công thức diện tích trên bản đồ
- Quy hoạch và quản lý: Cung cấp cơ sở dữ liệu chính xác cho việc lập kế hoạch sử dụng đất, quản lý tài nguyên và xây dựng cơ sở hạ tầng.
- Nghiên cứu khoa học: Hỗ trợ các nghiên cứu địa lý, môi trường, nông nghiệp và quy hoạch đô thị.
- Ứng dụng thực tiễn: Được sử dụng rộng rãi trong các lĩnh vực như bất động sản, xây dựng, khảo sát và lập bản đồ.
>>> Máy Thủy Bình Leica NA320 giúp xác định độ cao tương đối giữa các điểm nhằm xác định diện tích khu đất
Các phương pháp đo diện tích phổ biến hiện nay:
- Phương pháp truyền thống: Sử dụng thước đo và tỉ lệ bản đồ, phù hợp với các khu vực nhỏ và đơn giản.
- Phương pháp kỹ thuật số: Áp dụng công nghệ GIS và phần mềm chuyên dụng, cho phép đo đạc chính xác và phân tích dữ liệu sâu rộng.
- Phương pháp từ xa: Sử dụng ảnh vệ tinh và máy bay không người lái, thích hợp cho các khu vực rộng lớn và khó tiếp cận.
Các phương pháp tính diện tích trên bản đồ
Áp dụng nguyên lý cộng diện tích
Để tính diện tích của một hình phức tạp, chúng ta có thể chia nhỏ nó thành các hình đơn giản như hình chữ nhật, hình tam giác, hình thang… Sau đó, tính diện tích từng hình nhỏ và cộng tổng các diện tích lại với nhau

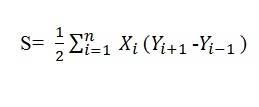
Phương pháp tọa độ
Khi biết tọa độ của các đỉnh, ta có thể sử dụng công thức tính diện tích dựa trên tọa độ để xác định diện tích của đa giác. Công thức như sau:

Trong đó thứ tự i tính theo chiều thuận kim đồng hồ
Công thức này cũng được ứng dụng trong các phần mềm tính diện tích như:
- Phần mềm CAD: Các phần mềm thiết kế hỗ trợ tính toán diện tích tự động dựa trên tọa độ các điểm.
- GIS: Các hệ thống thông tin địa lý sử dụng công thức này để tính diện tích các khu vực trên bản đồ.
- Xử lý ảnh: Công thức này được ứng dụng để tính diện tích các đối tượng trong ảnh.
>>> Nhờ khả năng thu thập dữ liệu nhanh chóng và chính xác, máy Máy GNSS RTK Hi-Target vRTK giúp cập nhật bản đồ thường xuyên, phản ánh đúng thực tế trên mặt đất.
Phương pháp lưới ô vuông
Ta có thể coi mỗi ô vuông trong lưới là một hình vuông nhỏ và hình cần đo là một đa giác được tạo thành từ các hình vuông nhỏ này. Diện tích của đa giác xấp xỉ bằng tổng diện tích các hình vuông nhỏ.
Dùng máy đo diện tích
Đây là phương pháp cổ điển, sử dụng một dụng cụ chuyên dụng để đo diện tích các hình dạng phức tạp. Tuy nhiên, do thao tác phức tạp và độ chính xác hạn chế nên phương pháp này ít được sử dụng hiện nay.
Dùng các phần mềm hiện đại
- Phần mềm đo đạc: Các phần mềm chuyên dụng như AutoCAD Civil 3D, ArcGIS cho phép nhập dữ liệu đo đạc từ các thiết bị đo, xử lý dữ liệu và tính toán diện tích một cách tự động.
- Hệ thống thông tin địa lý (GIS): Là một công cụ mạnh mẽ để quản lý, phân tích và hiển thị dữ liệu địa lý. GIS cho phép tạo các bản đồ số, tính toán diện tích, thể tích và các thông số khác của các đối tượng địa lý.

>>>Xem thêm: DỊCH VỤ ĐO ĐẠC BẢN ĐỒ
Hoặc ứng dụng các công nghệ mới như:
- LiDAR (Light Detection and Ranging): Sử dụng xung laser để đo khoảng cách đến các vật thể trên mặt đất, tạo ra các mô hình 3D chi tiết của địa hình. LiDAR được ứng dụng rộng rãi trong khảo sát địa hình, lập bản đồ và giám sát môi trường.
- RADAR (Radio Detection and Ranging): Sử dụng sóng radio để đo khoảng cách và xác định các đặc tính của vật thể. RADAR có thể hoạt động trong mọi điều kiện thời tiết, đặc biệt hữu ích trong việc đo đạc các khu vực có địa hình phức tạp hoặc bị che phủ bởi thảm thực vật.
- Máy bay không người lái (UAV): Được trang bị các cảm biến như camera, LiDAR, để thu thập dữ liệu địa hình từ trên cao. UAV giúp tạo ra các bản đồ số độ phân giải cao và nhanh chóng, đặc biệt phù hợp với các khu vực rộng lớn hoặc khó tiếp cận.
Qua bài viết trên Việt Thanh Group đã nêu công thức tính diện tích trên bản đồ, hy vọng bài viết này sẽ giúp ích cho công tác của quý khách. Việt Thanh Group chuyên cung cấp các loại máy đo đạc trắc địa cao cấp như máy thủy bình giúp đo chênh lệch cao độ giữa hai điểm hoặc nhiều điểm trong không gian hay máy toàn đạc dùng để đo các góc. Nếu quý khách cần tư vấn thêm về sản phẩm hoặc cần thêm các thông tin về dịch vụ của chúng tôi vui lòng liên hệ 0972-819-598.




Be the first to review “Công thức tính diện tích trên bản đồ: Đơn giản và chính xác”