Các hệ tọa độ trong đo ảnh đóng vai trò cốt lõi trong việc xác định vị trí, hướng và khoảng cách của các đối tượng trong không gian ba chiều thông qua hình ảnh thu thập được. Bên cạnh đó, công cụ giúp đo đạc hiện đại là máy GNSS RTK, máy thuỷ bình đảm bảo xác định chính xác và hiệu quả. Hãy cùng Việt Thanh Group tìm hiểu về các hệ tọa độ trong đo ảnh, các loại hệ tọa độ phổ biến, cũng như tầm quan trọng của chúng trong việc định vị và tái hiện không gian thực tế.
Tìm hiểu các hệ tọa độ trong đo ảnh là gì?

Hệ tọa độ là một hệ thống giúp xác định vị trí của một điểm trong không gian dựa trên các giá trị tọa độ. Trong đo ảnh, các hệ tọa độ được sử dụng để chuyển đổi thông tin từ hình ảnh thu được bởi máy ảnh hoặc các thiết bị đo ảnh sang dữ liệu không gian thực tế. Việc này giúp người đo đạc định vị được các đối tượng trong không gian 3D, xác định được kích thước, khoảng cách và hướng di chuyển của các đối tượng này.
Đo ảnh sử dụng nhiều loại hệ tọa độ khác nhau, bao gồm hệ tọa độ hình ảnh, hệ tọa độ đối tượng, và hệ tọa độ địa lý toàn cầu. Mỗi hệ tọa độ có vai trò riêng biệt và được sử dụng trong các ngữ cảnh khác nhau để đảm bảo việc định vị và đo đạc chính xác.
>>> Việt Thanh Group tự hào là đơn vị hàng đầu trong việc cung cấp các dịch vụ cho thuê thiết bị đo đạc với đội ngũ nhân viên hỗ trợ chuyên nghiệp trên toàn quốc.
Các hệ tọa độ trong đo ảnh phổ biến hiện nay
Hệ tọa độ ảnh (Image Coordinate System)
Hệ tọa độ ảnh là hệ tọa độ đầu tiên được sử dụng khi một hình ảnh được thu thập bởi máy ảnh hoặc cảm biến đo ảnh. Trong hệ tọa độ này, vị trí của mỗi điểm trên bức ảnh được biểu diễn dưới dạng hai giá trị tọa độ xx và yy, tương ứng với trục ngang và trục dọc của ảnh. Đây là hệ tọa độ hai chiều và được sử dụng để biểu diễn các điểm trên bề mặt phẳng của hình ảnh.
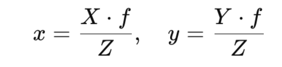
Khi áp dụng phép chiếu phối cảnh trong đo ảnh, hệ tọa độ ảnh giúp mô tả vị trí của một điểm trong không gian ba chiều được chiếu lên mặt phẳng hai chiều của ảnh. Công thức phổ biến cho phép chiếu phối cảnh như sau:

Trong đó:
- X,Y,Z là tọa độ thực tế của điểm trong không gian ba chiều.
- x,y là tọa độ của điểm trên mặt phẳng ảnh.
- f là tiêu cự của máy ảnh.
Hệ tọa độ ảnh là điểm khởi đầu trong quá trình chuyển đổi từ ảnh hai chiều sang không gian ba chiều thực tế. Để đạt được kết quả đo đạc chính xác, việc chuyển đổi từ hệ tọa độ ảnh sang các hệ tọa độ khác là bước tiếp theo quan trọng.
Hệ tọa độ không gian (Object Coordinate System)
Hệ tọa độ không gian, còn được gọi là hệ tọa độ đối tượng, được sử dụng để xác định vị trí của các đối tượng trong không gian ba chiều thực tế. Hệ tọa độ này thường bao gồm ba trục X, Y, và Z, tương ứng với không gian ba chiều. Để đảm bảo tính chính xác, các điểm trong hệ tọa độ không gian thường được liên kết với các điểm kiểm soát cố định, có tọa độ được biết trước.
Hệ tọa độ không gian giúp xác định chính xác vị trí, kích thước và hình dạng của các đối tượng dựa trên hình ảnh thu được. Đo đạc trong hệ tọa độ này đóng vai trò quan trọng trong việc lập bản đồ địa hình, đo đạc công trình và tái hiện mô hình 3D. Đây là hệ tọa độ liên kết giữa dữ liệu hình ảnh và thực tế không gian, tạo điều kiện thuận lợi cho việc thực hiện các dự án quy hoạch và quản lý đất đai.
Hệ tọa độ địa lý (Geographic Coordinate System)

Hệ tọa độ địa lý là hệ thống được sử dụng rộng rãi trên toàn cầu để xác định vị trí của một điểm trên bề mặt Trái Đất. Hệ tọa độ này sử dụng hai thông số chính là vĩ độ và kinh độ để xác định tọa độ của điểm trên mặt cầu của Trái Đất. Điểm khác biệt của hệ tọa độ địa lý so với hệ tọa độ không gian là nó không chỉ đo đạc trên mặt phẳng mà còn sử dụng các yếu tố địa lý và độ cong của Trái Đất.
Các giá trị tọa độ trong hệ địa lý bao gồm:
- Vĩ độ (Latitude): Xác định vị trí của điểm theo chiều Bắc – Nam.
- Kinh độ (Longitude): Xác định vị trí của điểm theo chiều Đông – Tây.
- Độ cao (Altitude): Xác định vị trí của điểm theo độ cao so với mực nước biển.
Trong đo ảnh, hệ tọa độ địa lý giúp xác định vị trí của các đối tượng trên bề mặt Trái Đất, hỗ trợ việc lập bản đồ địa lý và địa chính. Hệ tọa độ này thường được sử dụng khi kết hợp dữ liệu đo ảnh với hệ thống thông tin địa lý (GIS) và các ứng dụng quản lý tài nguyên.
Hệ tọa độ cục bộ (Local Coordinate System)
Hệ tọa độ cục bộ được sử dụng trong các dự án đo đạc nhỏ hơn hoặc tại các công trình cụ thể, nơi các điểm tham chiếu được thiết lập tại khu vực khảo sát. Hệ tọa độ này có thể được tùy chỉnh cho phù hợp với yêu cầu của từng dự án cụ thể và thường được sử dụng để đo đạc chi tiết các đối tượng nhỏ hoặc các công trình xây dựng.
Trong hệ tọa độ cục bộ, các điểm tham chiếu được xác định bằng các giá trị tọa độ X, Y, và Z tương tự như hệ tọa độ không gian. Tuy nhiên, phạm vi và quy mô của hệ tọa độ cục bộ thường hẹp hơn, và nó có thể dễ dàng được chuyển đổi sang hệ tọa độ địa lý hoặc hệ tọa độ không gian khi cần.
>>> Xem thêm: Máy Thủy Bình Sokkia , Máy Thủy Bình Leica , Máy Thủy Bình Hi-Target giúp nâng cao chất lượng công việc trong các lĩnh vực đo đạc địa lý và các máy thủy bình nổi bật như:Máy Thủy Bình Hi-Target HT32, Máy Thủy Bình Sokkia B40A, Máy Thủy Bình Nikon AX-2S
Ứng dụng thực tiễn của hệ tọa độ đo ảnh trong đo ảnh

- Lập bản đồ địa hình: Sử dụng các hệ tọa độ để xác định vị trí và độ cao của các điểm trên địa hình, hỗ trợ quy hoạch và xây dựng dự án.
- Khảo sát và đo đạc công trình: Hệ tọa độ không gian và cục bộ giúp xác định tọa độ chính xác của các điểm kiểm soát trong công trình xây dựng, đảm bảo đúng tiêu chuẩn kỹ thuật.
- Đo đạc địa chính và quản lý đất đai: Hệ tọa độ địa lý được tích hợp vào GIS để lập bản đồ đất đai, xác định ranh giới và quản lý tài sản công, tư nhân.
- Tái hiện mô hình 3D: Các hệ tọa độ giúp tái hiện mô hình 3D của các công trình, phục vụ bảo trì, xây dựng và lưu trữ dữ liệu không gian.
- Khảo sát môi trường và tài nguyên: Hệ tọa độ hỗ trợ theo dõi sự thay đổi của các yếu tố môi trường, giúp quản lý tài nguyên và bảo tồn thiên nhiên.
- Ứng dụng trong GIS và GPS: Hệ tọa độ địa lý được sử dụng trong GIS để phân tích dữ liệu không gian và GPS để định vị chính xác các điểm trong đo ảnh.
>>> Xem thêm: Cấp địa hình trong khảo sát xây dựng: Yếu tố quan trọng cho dự án
Các hệ tọa độ trong đo ảnh không chỉ là yếu tố kỹ thuật mà còn là cơ sở toán học quan trọng giúp đảm bảo tính chính xác và hiệu quả trong quá trình đo đạc và lập bản đồ. Từ hệ tọa độ ảnh, không gian, đến hệ tọa độ địa lý và cục bộ, mỗi hệ tọa độ đều có vai trò đặc biệt trong việc chuyển đổi dữ liệu từ ảnh sang không gian thực tế.
Hiểu rõ và áp dụng đúng các hệ tọa độ này sẽ giúp các nhà trắc địa và kỹ sư hoàn thành các dự án đo đạc một cách hiệu quả, đồng thời góp phần vào sự phát triển bền vững của các dự án xây dựng và quy hoạch.




Be the first to review “Tìm hiểu các hệ tọa độ trong đo ảnh và ứng dụng trong trắc địa”