Khi tìm hiểu về trắc địa và khoa học Trái đất, câu hỏi được đặt ra nhiều nhất là: trọng trường của Trái đất là gì? Đây là một khái niệm quan trọng giúp lý giải vì sao mọi vật đều chịu tác động lực hút và gắn liền với các hoạt động đo đạc, khảo sát địa hình. Trong thực tế, các thiết bị hiện đại như máy toàn đạc điện tử không chỉ dùng để đo góc, xác định tọa độ mà còn hỗ trợ tính toán, nghiên cứu liên quan đến trọng trường, từ đó nâng cao độ chính xác trong bản đồ và công trình xây dựng.
Khái niệm cơ bản – Trọng trường của Trái Đất là gì?
Trọng trường của Trái Đất là gì? Đây là trường lực được tạo nên bởi sự kết hợp của hai yếu tố: lực hấp dẫn và lực li tâm. Trong đó, lực hấp dẫn xuất phát từ khối lượng Trái Đất tác động lên mọi vật, còn lực li tâm xuất hiện do sự quay của Trái Đất quanh trục.
Khi một vật được đặt trên bề mặt hoặc gần bề mặt Trái Đất, nó chịu tác động đồng thời của hai lực này, và kết quả chính là trọng lực – lực khiến vật rơi về phía Trái Đất.
Nghiên cứu trọng trường của Trái Đất là một trong những lĩnh vực quan trọng của địa vật lý, không chỉ giúp hiểu về hành tinh của chúng ta mà còn có ý nghĩa trong việc nghiên cứu các hành tinh và thiên thể khác.

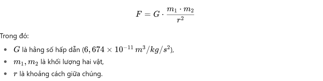
Lực hấp dẫn và công thức tính
Lực hấp dẫn là lực hút tương tác giữa hai vật thể có khối lượng, được Newton mô tả bằng định luật vạn vật hấp dẫn:

Nếu một trong hai vật có khối lượng rất lớn (ví dụ Trái Đất) và vật còn lại nhỏ hơn nhiều (con người, vật thể), ta thường coi vật lớn là vật hút. Khi đó, lực tác động lên vật nhỏ chính là lực hấp dẫn của Trái Đất.
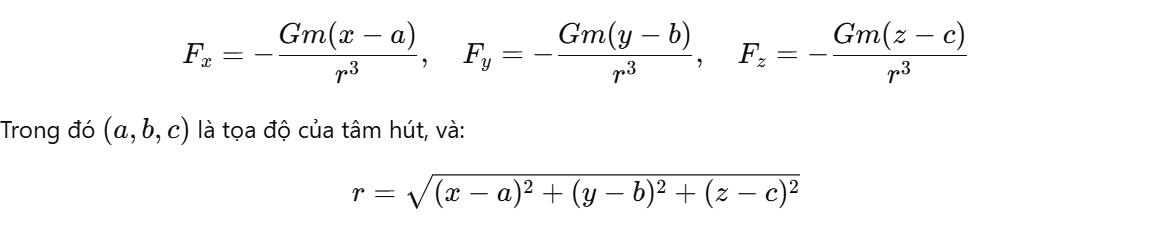
Biểu diễn véc tơ lực hấp dẫn
Trong không gian ba chiều, lực hấp dẫn không chỉ có độ lớn mà còn có hướng. Nếu coi Trái Đất là vật hút, còn một vật nhỏ tại điểm M(x,y,z) là vật bị hút, khi đó véc tơ lực hấp dẫn có thể được phân tích theo các trục tọa độ như sau:

Lực li tâm và ảnh hưởng
Do Trái Đất quay quanh trục nên mọi vật trên bề mặt còn chịu thêm lực li tâm, có phương vuông góc với trục quay và hướng ra ngoài. Công thức xác định lực li tâm:

Lực li tâm làm cho trọng lực thực tế tại các vĩ độ khác nhau có sự thay đổi. Chính vì vậy, trọng trường của Trái Đất không hoàn toàn đồng đều.
Trọng lực và trọng trường Trái Đất
Trọng lực là lực thực tế tác động lên một vật tại bề mặt Trái Đất, được tổng hợp từ lực hấp dẫn và lực li tâm. Về độ lớn, trọng lực thường được biểu diễn bằng: g = F/m
Giá trị g trung bình ở bề mặt Trái Đất xấp xỉ 9,81 m/s², tuy nhiên nó thay đổi theo vĩ độ và độ cao. Ví dụ:
- Ở xích đạo, giá trị ggg nhỏ hơn so với cực (do lực li tâm lớn hơn).
- Ở vùng núi cao, giá trị ggg cũng nhỏ hơn đồng bằng (do khoảng cách đến tâm Trái Đất lớn hơn).

Giá trị chuẩn của trọng trường Trái Đất
Năm 1901, tại Hội nghị toàn thể về Cân đo quốc tế, giá trị trọng trường của Trái Đất được quy ước là gn = 9,80665 m/s². Đây không phải giá trị đo tại một điểm cụ thể, mà là kết quả trung bình chuẩn hóa tại vĩ độ 45° và mực nước biển.
Tuy nhiên, trong thực tế, trọng trường Trái Đất không đồng nhất. Nó thay đổi theo vị trí địa lý, độ cao, và cả đặc điểm địa chất. Chính sự thay đổi này đã tạo tiền đề cho các nghiên cứu địa vật lý và các ứng dụng trong khảo sát, đo đạc.
Sự thay đổi của trọng trường theo vị trí
Theo vĩ độ
Do Trái Đất quay quanh trục và có hình cầu dẹt, nên trọng trường không bằng nhau ở mọi nơi. Ở xích đạo, lực ly tâm làm giảm trọng trường, khiến giá trị g chỉ khoảng 9,780 m/s², trong khi ở hai cực, g đạt đến 9,832 m/s². Vì vậy, cùng một vật thể nhưng tại cực nó sẽ nặng hơn khoảng 0,5% so với khi ở xích đạo.
Theo độ cao
Trọng trường của Trái Đất giảm dần theo độ cao, bởi khi càng xa tâm Trái Đất, lực hấp dẫn giảm đi. Ví dụ: ở độ cao 9.000 m (tương đương 30.000 ft), trọng lực giảm khoảng 0,29% so với mực nước biển. Tuy nhiên, ở quỹ đạo Trạm Vũ trụ Quốc tế (ISS), cách Trái Đất 400 km, trọng lực vẫn bằng khoảng 90% so với trên mặt đất.
Theo độ sâu
Khi đi sâu vào lòng đất, giá trị g cũng thay đổi. Nếu Trái Đất có mật độ đồng đều, trọng trường sẽ tỷ lệ thuận với khoảng cách từ tâm đến điểm xét. Nhưng trong thực tế, do sự phân bố mật độ phức tạp, trọng trường của Trái Đất ở độ sâu được tính toán bằng nhiều mô hình, trong đó có PREM (Preliminary Reference Earth Model).
Theo địa hình và địa chất
Các dị thường trọng lực xuất hiện do sự khác biệt về địa hình và địa chất. Ví dụ, những khu vực có lớp đá đặc hoặc chứa quặng khoáng sản sẽ có giá trị trọng lực cao hơn. Đây chính là cơ sở cho các nghiên cứu địa vật lý ứng dụng trong tìm kiếm khoáng sản, dầu khí.
Công thức tính gần đúng trọng trường Trái Đất theo độ cao
Trọng trường có thể được ước lượng bằng công thức:

Trong đó:
- gh là gia tốc trọng trường ở độ cao h so với mực nước biển
- Re là bán kính Trái Đất
- g0 là gia tốc trọng trường tiêu chuẩn
Công thức này cho phép tính toán nhanh sự thay đổi của trọng lực theo độ cao, đặc biệt hữu ích trong hàng không và nghiên cứu vũ trụ.
>>Xem thêm: Hướng dẫn cách đọc bản vẽ kỹ thuật xây dựng: Nền tảng vững chắc cho mọi công trình
Ứng dụng nghiên cứu trọng trường Trái Đất
Hiểu rõ trọng trường của Trái Đất là gì và sự biến thiên của nó mang lại nhiều ứng dụng thực tiễn:
- Địa chất – khoáng sản: Đo đạc dị thường trọng lực để tìm kiếm dầu khí, quặng kim loại.
- Khảo sát trắc địa: Ứng dụng trong đo đạc bản đồ địa hình, tính toán chính xác vị trí điểm khống chế.
- Hàng không – vũ trụ: Dự đoán đường bay, quỹ đạo của vệ tinh, tàu vũ trụ.
- Xây dựng – cầu đường: Các công trình lớn như đập thủy điện, cầu treo cần xét đến sự thay đổi của trọng lực để đảm bảo an toàn.
Trong các công tác đo đạc hiện đại, các kỹ sư thường sử dụng thiết bị tiên tiến như Máy Toàn Đạc Sokkia IM-50 Series (IM-52, IM-55), Máy toàn đạc Sokkia FX-200 series (Sokkia FX201, Sokkia FX202),… với độ chính xác cao, kết hợp với nghiên cứu trọng trường nhằm đưa ra kết quả chuẩn xác nhất.
>> Xem thêm: Viễn thám siêu cao tần: Công nghệ đột phá trong quan trắc môi trường vào khảo sát địa chất
Độ sâu và sự ảnh hưởng đến trọng trường của Trái Đất
Một trong những yếu tố quan trọng ảnh hưởng đến trọng trường của Trái Đất là gì chính là độ sâu. Khi đi sâu vào lòng Trái Đất, phân bố mật độ khối lượng sẽ thay đổi và kéo theo sự biến thiên của lực hấp dẫn.
Theo mô hình Trái Đất tham chiếu sơ bộ (PREM), sự phân bố mật độ xuyên tâm không đồng nhất:
- Ở tâm Trái Đất, mật độ cao hơn nhiều so với lớp vỏ.
- Mật độ giảm dần từ lõi ra đến bề mặt, dẫn đến sự thay đổi của trọng lực Trái Đất theo độ sâu.
Một giá trị gần đúng của trọng trường của Trái Đất tại bán kính r được tính bằng công thức:

Trong đó:
- G là hằng số hấp dẫn.
- M(r) là khối lượng Trái Đất trong phạm vi bán kính r.
Nếu coi Trái Đất có mật độ đồng nhất, lực hấp dẫn tại độ sâu r sẽ tỉ lệ thuận với bán kính này. Tuy nhiên, trong thực tế, mật độ Trái Đất thay đổi theo từng lớp (lõi, manti, vỏ) nên công thức chi tiết hơn sẽ phản ánh rõ sự khác biệt.
Gia tốc trọng trường tại độ sâu d được xác định theo công thức:
g’=g(1-d/R)
Trong đó:
- g là gia tốc trọng trường tại bề mặt Trái Đất.
- R là bán kính Trái Đất.
- d là độ sâu tính từ bề mặt xuống tâm Trái Đất.
Trong trường hợp mật độ khối lượng của Trái Đất giảm tuyến tính theo bán kính, từ giá trị ρ₀ tại tâm đến ρ₁ tại bề mặt, ta có công thức mô tả:
ρ(r) = ρ0 − (ρ0 − ρ1) r / re
Khi đó, sự phụ thuộc của trọng trường Trái Đất vào độ sâu sẽ được tính theo biểu thức chi tiết hơn, phản ánh rõ sự thay đổi mật độ từ lõi ra đến vỏ Trái Đất.
>> Xem thêm: Dịch vụ đo đạc bản đồ của Việt Thanh Group
Qua bài viết này, chắc hẳn bạn đã hiểu rõ hơn trọng trường của Trái Đất là gì và vì sao nó lại khác nhau ở từng vị trí, độ cao, hay độ sâu khác nhau. Đây không chỉ là một khái niệm vật lý cơ bản, mà còn là nền tảng cho nhiều ứng dụng trong địa chất, xây dựng, hàng không – vũ trụ và đo đạc trắc địa.
Nắm vững trọng trường Trái Đất giúp chúng ta giải thích được nhiều hiện tượng tự nhiên và ứng dụng nó trong đời sống thực tế. Nếu bạn quan tâm đến các thiết bị đo đạc hiện đại hỗ trợ nghiên cứu trọng trường và khảo sát địa hình, hãy tham khảo các dòng máy toàn đạc điện tử mà Việt Thanh Group đang cung cấp để có được những kết quả chính xác và nhanh chóng nhất.




Be the first to review “Trọng trường của Trái Đất là gì? Kiến thức bạn cần biết”