Bình sai lưới thủy chuẩn là một quy trình trong đo đạc trắc địa nhằm xác định độ cao của các điểm trên bề mặt Trái Đất với độ chính xác cao. Quy trình này bao gồm việc thu thập, xử lý và phân tích dữ liệu đo đạc thông qua việc sử dụng các thiết bị như máy GPS 2 tần số RTK , máy thủy bình. Trong bài viết dưới đây, Việt Thanh group sẽ mang đến những thông tin chi tiết về các phương pháp bình sai lưới thủy chuẩn, mời bạn đọc cùng theo dõi.
Các phương pháp bình sai lưới thủy chuẩn
Phương pháp bình sai lưới thủy chuẩn gián tiếp
Phương pháp bình sai lưới thủy chuẩn gián tiếp phù hợp với lưới thủy chuẩn có dạng phụ thuộc và có điểm nút từ hai điểm trở lên.
Đầu tiên, cần xác định số lượng một cách chính xác nhất và lựa chọn đúng ẩn số cho bài toán. Đối với bình sai lưới thủy chuẩn số ẩn cần xác định đó chính là số điểm mốc chưa biết độ cao.
Xét một mạng lưới thủy chuẩn hạng III, biết độ cao của 4 điểm A, B, C và D, cùng 3 điểm nút N1, N2 và N3. Trên các tuyến độ cao từ điểm hạng cao đến điểm nút hoặc tuyến nối giữa hai nút có các mốc trung gian Ri.

>>>Xem thêm: Hướng dẫn bình sai lưới độ cao bằng phần mềm HHmaps 2019
Khi thực hiện bình sai gián tiếp cho mạng lưới này, ta có thể chọn độ cao của các nút N và các mốc trung gian R làm ẩn số. Tuy nhiên, để đơn giản hóa tính toán, chỉ chọn độ cao của các điểm nút N làm ẩn số. Trị đo đưa vào bình sai không phải là độ chênh cao trên các đoạn nối với các mốc Ri, mà là tổng độ chênh cao của các tuyến. Sau khi bình sai toàn bộ lưới, ta xác định được độ cao chính xác của các điểm nút, từ đó tính được độ cao của các điểm R theo từng tuyến.
Nếu như lựa chọn theo cách như trên, mạng lưới thủy chuẩn lúc này sẽ có 7 trị đo và 3 ẩn số chính là độ cao của các điểm nút.
Ký hiệu:
- hi – Là độ chênh cao đã đo được của tuyến thứ i.
- vi – Là số hiệu chỉnh trị đo sau khi bình sai.
- h’i – Là độ chênh cao sau bình sai.
- xoj – Trị gần đúng của ẩn số.
- δxj – Số hiệu chỉnh của ẩn số.
- xj – Trị bình sai ẩn số.
Ta có mối quan hệ sau:
xj = xoj + δxj
h’i = hi + vi
Hệ phương trình sai số của lưới thủy chuẩn sẽ có dạng như sau:

Trọng số trị đo Pi = C/Li
Ta có Các hệ số của ẩn số có trong hệ phương trình đều bằng +1 và -1, lúc này hệ phương trình chuẩn sẽ là:

Trên thực tế, nếu như dựa vào sơ đồ lưới thủy chuẩn, ta có thể tính được ma trận hệ số R một cách dễ dàng. Lúc này hệ số R = ATPA của hệ phương trình chuẩn với các nguyên tắc như sau:
- Hệ số của đường chéo chính: Sẽ được tính bằng tổng các trọng số các tuyến liên quan đến từng điểm nút một.
- Các hệ số ngoài đường chéo: Sẽ có giá trị bằng -Pi đối với các tuyến có liên quan.
Sau khi giải hệ phương trình trên, ta sẽ nhận được kết quả số hiệu chỉnh của ẩn số. Thay các giá trị và hệ phương trình sai số, sẽ tính được vi và từ đó tính được ẩn số và trị đo sau của bình sai.
>>>Xem thêm: Phương pháp bình sai đường chuyền kinh vĩ khép kín
Phương pháp bình sai lưới thủy chuẩn có điều kiện
Trong phương pháp bình sai lưới thủy chuẩn có điều kiện cần phải tính đúng số lượng phương trình có điều kiện và lựa chọn những phương trình mà chúng hoàn toàn độc lập, không liên quan đến nhau.
Tất cả các trị đo được đưa vào bình sai chính là độ chênh cao đo được giữa các điểm mốc. Đại lượng cần xác định chính là độ cao của các mốc thủy chuẩn. Số lượng phương trình điều kiện sẽ bằng với số trị đo thừa và sẽ được tính với công thức tổng quát như sau: r=n-t.
Cách khác, có thể sử dụng chính sơ đồ mạng lưới để xác định số lượng một cách trực tiếp và lựa chọn các phương trình điều kiện. Nếu như trong lưới đã xác định được P vòng khép kín và Q các điểm đã biết chính xác độ cao thì số phương trình điều kiện sẽ là: r = P + Q – 1 = 3 + 1 – 1 = 3.
Nếu như có lưới thủy chuẩn như hình bên dưới, độ cao điểm A đã biết, đo 3 tuyến và cần xác định độ cao của 3 điểm mốc R1, R2,R3. Lúc này chúng ta sẽ có phương trình điều kiện như sau: r = n – t = 6 – 3 = 3.
Lựa chọn 3 vòng khép kín và chiều tính sai số khép thuận theo chiều kim đồng hồ (từ phải sang trái) lúc này chúng ta sẽ có 3 phương trình điều kiện số hiệu chỉnh như sau:

Trọng số trị đo có được tính theo chiều dài của tuyến đo hoặc số trạm máy sẽ là:

Số nghịch đảo của trọng số trị đo: qi = 1/Pi = Li
Hệ phương trình điều kiện số hiệu chỉnh có thể viết ở dạng khác là: BV + W = 0
Hệ phương trình chuẩn số liên hệ:
NK + W = 0
N = BP-1BT
Phương trình điều kiện có các hệ số có giá trị +1 hoặc -1. Vì vậy mà ta có thể suy ra được hệ phương trình chuẩn từ sơ đồ lưới như sau:

Trong đó:

Giái tiếp bài toán ta sẽ có:
K = -N-1W
V = P-1BTK
Các sai số đặc trưng sẽ được tính theo công thức:

Giá trị của trị đo sau khi bình sai lưới thủy chuẩn sẽ được tính theo công thức sau: h’ = h + v
Độ chính xác của trị đo hi được xác định bởi trọng số Pi. Vectơ trị đo h lúc này sẽ có ma trận trọng số P và có ma trận trọng số đảo P-1, đó là các ma trận đường chéo:

Sau khi bình sau các trị đo h’i sẽ là các đại lượng phụ thuộc vào nhau. Ma trận tương quan, biểu thị mức độ phụ thuộc giữa các trị đo sau khi bình sai, được xác định bằng công thức sau:
Qh’ = P-1 – P-1BTN-1BP-1
Ta có thể tính sai số trung phương trị đo sau bình sai hi dựa vào ma trận Qh’như sau:

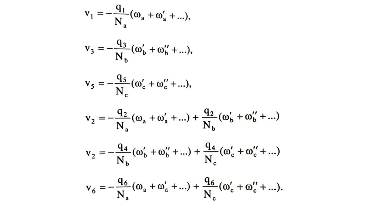
Phương pháp bình sai lưới thủy chuẩn theo sơ đồ (Phương pháp Popov)
Phương pháp bình sai lưới thủy chuẩn trực tiếp dựa trên sơ đồ do nhà trắc địa Popov đề xuất được coi là dễ thực hiện và đơn giản. Phương pháp này dựa trên lý thuyết bình sai điều kiện, trong đó hệ phương trình chuẩn và số hiệu chỉnh trị đo được giải và tính toán dần dần đến khi đạt độ chính xác mong muốn. Bắt đầu từ lưới thủy chuẩn, ta thiết lập hệ phương trình điều kiện và hệ phương trình chuẩn như sau:

Từ phương trình trên, giá trị gần đúng của số liên hệ K lần lượt như sau:

Thay lần lượt các giá trị của Kio vào từng phương trình ta sẽ có các sai số khép mới ω’i rồi ω”i ta sẽ tính được các số hiệu chỉnh ΔK’i rồi ΔK’’i. Tổng quát lại ta có số liên hệ K tính theo công thức đúng dần:

Các số hiệu chỉnh được tính theo công thức sau: vi = qi(aiKi +biKb + ciKc)
Ta có:

Với phương pháp bình sai lưới thủy chuẩn trực tiếp trên sơ đồ:
- Các hệ số ở vế phải của công thức trên là tỷ lệ phân phối sai số khép lần thứ j cho tuyến đo thứ i, tính theo chiều dài Li hoặc số trạm máy ni.
- Đối với tuyến đo liên quan đến một điều kiện vòng khép, số hiệu chỉnh của nó chỉ do sai số khép của một vòng phân phối. Về giá trị, tổng các phần phân phối được lặp lại và dấu sẽ ngược với dấu của sai số khép.
- Đối với những tuyến đo liên quan đến hai điều kiện vòng khép, số hiệu chỉnh của chúng bao gồm hai phần do hai vòng phân phối. Nếu chiều đo cùng chiều với sai số khép, trước tổng sẽ lấy dấu trừ. Nếu chiều đo ngược với chiều tính sai số khép, trước tổng sẽ lấy dấu cộng.
Ứng dụng của bình sai lưới thủy chuẩn
- Xây dựng và quy hoạch đô thị: Xác định độ cao và lập bản đồ địa hình cho các dự án xây dựng và quy hoạch. Trong đó cần sử dụng các thiết bị đo đạc như máy thủy bình, máy toàn đạc điện tử, máy GNSS RTK (ví dụ các dòng như GNSS RTK Satlab Freyja, GNSS RTK Satlab SL7,..)
- Quản lý tài nguyên nước: Giám sát và quản lý mực nước sông, hồ và các khu vực ngập lụt.
- Kỹ thuật và xây dựng hạ tầng: Đảm bảo tính chính xác của các công trình kỹ thuật như cầu, đường và hệ thống thoát nước.
- Nghiên cứu khoa học: Cung cấp dữ liệu độ cao chính xác cho các nghiên cứu về địa chất, khí hậu và môi trường.
Bình sai lưới thủy chuẩn là một bước quan trọng trong việc đảm bảo tính chính xác và tin cậy của các dữ liệu địa hình, đóng góp vào việc phát triển và quản lý bền vững tài nguyên và hạ tầng. Với những thông tin chi tiết mà Việt Thanh Group mang đến chắc chắn bạn đọc đã nắm được những kiến thức về bình sai lưới thủy chuẩn. Xem thêm dịch vụ đo đạc bản đồ hoặc mua sắm các thiết bị đo đạc tại gian hàng của chúng tôi cùng các chế độ hậu mãi và chăm sóc khách hàng vô cùng uy tín.
>>>Xem thêm: Tìm hiểu đường bình độ là gì và các đặc điểm của nó




Be the first to review “Tìm hiểu các phương pháp bình sai lưới thủy chuẩn”