Hệ trục tọa độ Descartes là một khái niệm cơ bản trong toán học và trắc địa, đóng vai trò quan trọng trong việc xác định vị trí và mô phỏng không gian. Công cụ giúp đo đạc hiện đại là máy GNSS RTK, máy thuỷ bình đảm bảo hiệu quả và chính xác để thực hiện các dự án lớn nhỏ. Hãy cùng Việt Thanh Group khám phá sâu hơn về hệ trục tọa độ Descartes, các ứng dụng thực tiễn của nó, cũng như vai trò của hệ thống này trong lĩnh vực trắc địa.
Tìm hiểu hệ trục tọa độ Descartes là gì?

Hệ trục tọa độ Descartes là một hệ thống dùng để xác định vị trí của một điểm trong không gian dựa trên các giá trị số học. Hệ tọa độ này sử dụng các đường vuông góc với nhau (trục tọa độ) để xác định tọa độ của điểm cần tìm.
Hệ trục tọa độ Descartes bao gồm hai trục chính trong không gian hai chiều: trục hoành (trục X) và trục tung (trục Y). Đối với không gian ba chiều, nó bổ sung thêm một trục nữa gọi là trục Z. Mỗi điểm trong không gian đều có thể được xác định bởi một cặp (trong không gian hai chiều) hoặc một bộ ba (trong không gian ba chiều) các giá trị tọa độ.
Ví dụ: trong không gian hai chiều, điểm P có tọa độ (x, y) trong đó x là khoảng cách của điểm P từ trục Y và y là khoảng cách của điểm P từ trục X.
>>> Xem thêm: Các dự án bàn giao thiết bị đo đạc thành công tại Việt Thanh Group.
Các đặc điểm cơ bản của hệ trục tọa độ Descartes

Để hiểu rõ hơn về hệ trục tọa độ Descartes, chúng ta cần tìm hiểu về các đặc điểm cơ bản của hệ thống này như:
Tọa độ vuông góc
Một trong những đặc điểm nổi bật của hệ tọa độ Descartes là các trục tọa độ của nó luôn vuông góc với nhau. Điều này tạo ra một hệ thống đơn giản và dễ sử dụng để tính toán khoảng cách và vị trí của các điểm. Trong không gian hai chiều, các trục X và Y vuông góc nhau, trong khi không gian ba chiều có thêm trục Z cũng vuông góc với cả X và Y.
Xác định khoảng cách và góc
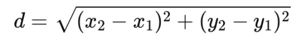
Hệ trục tọa độ Descartes cho phép xác định khoảng cách giữa hai điểm trong không gian bằng cách sử dụng công thức Pythagoras. Trong không gian hai chiều, khoảng cách giữa hai điểm (x₁, y₁) và (x₂, y₂) được tính bằng công thức:

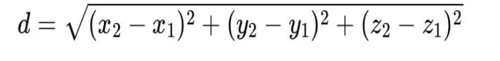
Tương tự, trong không gian ba chiều, khoảng cách giữa hai điểm (x₁, y₁, z₁) và (x₂, y₂, z₂) được tính bằng công thức:

Khả năng mở rộng từ 2D sang 3D
Hệ trục tọa độ Descartes dễ dàng mở rộng từ không gian hai chiều sang không gian ba chiều bằng cách bổ sung thêm trục Z. Điều này cho phép hệ thống được áp dụng rộng rãi trong các lĩnh vực yêu cầu đo đạc và mô phỏng không gian ba chiều như kiến trúc, xây dựng và kỹ thuật.
>>> Xem thêm: Máy Thủy Bình Sokkia , Máy Thủy Bình Leica , Máy Thủy Bình Hi-Target giúp nâng cao chất lượng công việc trong các lĩnh vực đo đạc địa lý và các máy thủy bình nổi bật như:Máy Thủy Bình Hi-Target HT32, Máy Thủy Bình Sokkia B40A, Máy Thủy Bình Nikon AX-2S
Ưu điểm và nhược điểm của hệ trục tọa độ Descartes
Hệ trục tọa độ Descartes có nhiều ưu điểm trong việc xác định và tính toán vị trí trong không gian, nhưng cũng có một số hạn chế cần lưu ý.
Ưu điểm
- Dễ hiểu và dễ sử dụng: Hệ tọa độ Descartes với các trục vuông góc giúp đơn giản hóa việc xác định vị trí của các điểm trong không gian, phù hợp với các bài toán đo đạc và tính toán.
- Ứng dụng rộng rãi: Hệ trục tọa độ Descartes được sử dụng trong nhiều lĩnh vực khác nhau, từ toán học, vật lý đến trắc địa và xây dựng.
- Tính chính xác cao: Khi kết hợp với các công cụ đo đạc hiện đại như GPS, hệ tọa độ Descartes cung cấp độ chính xác cao trong việc xác định vị trí.
Nhược điểm
- Giới hạn về không gian cong: Hệ trục tọa độ Descartes hoạt động tốt trong không gian phẳng và không gian Euclid, nhưng khi áp dụng cho các bề mặt cong hoặc phi Euclid (như bề mặt trái đất), hệ thống này không còn chính xác tuyệt đối.
- Phụ thuộc vào điểm gốc: Hệ thống tọa độ này yêu cầu điểm gốc xác định để tính toán. Nếu điểm gốc bị thay đổi, toàn bộ các tọa độ khác cũng sẽ bị ảnh hưởng.
>>> Xem thêm: Tìm hiểu chi tiết ứng dụng máy thủy bình đo vẽ bản đồ địa hình
Ứng dụng của hệ trục tọa độ Descartes trong trắc địa

Lập bản đồ địa chính và quản lý đất đai
Trong công tác lập bản đồ địa chính, hệ trục tọa độ Descartes được sử dụng để xác định chính xác vị trí các thửa đất, công trình và các đặc điểm tự nhiên. Bằng cách sử dụng tọa độ Descartes, các kỹ sư trắc địa có thể tạo ra các bản đồ có độ chính xác cao, từ đó hỗ trợ việc phân bổ và quản lý tài nguyên đất đai một cách hiệu quả.
Đo đạc và tính toán trong xây dựng
Trong các dự án xây dựng, việc đo đạc và xác định vị trí chính xác của các công trình là vô cùng cần thiết. Sử dụng hệ trục tọa độ Descartes, các kỹ sư có thể dễ dàng tính toán các kích thước, khoảng cách giữa các điểm trong không gian, giúp đảm bảo rằng các công trình xây dựng được thực hiện theo đúng kế hoạch và yêu cầu kỹ thuật.
Ứng dụng trong hệ thống định vị toàn cầu (GPS)
Hệ thống GPS hoạt động dựa trên hệ tọa độ Descartes để xác định vị trí chính xác của một đối tượng trên bề mặt trái đất. Mỗi điểm trên bề mặt trái đất được gán một tọa độ Descartes trong không gian ba chiều, cho phép người sử dụng GPS xác định vị trí của họ một cách nhanh chóng và chính xác.
>>> Xem thêm: Đánh giá chất lượng máy thủy bình Topcon AT-B4A chi tiết nhất
Hệ trục tọa độ Descartes là một công cụ mạnh mẽ và cần thiết trong trắc địa và nhiều lĩnh vực khác. Với khả năng xác định vị trí chính xác và đơn giản hóa các phép tính khoảng cách, hệ thống này đã trở thành nền tảng cho nhiều ứng dụng quan trọng.
Việt Thanh Group tự hào là đơn vị hàng đầu trong việc cung cấp các dịch vụ cho thuê thiết bị đo đạc với đội ngũ nhân viên hỗ trợ chuyên nghiệp trên toàn quốc.Hãy liên hệ với chúng tôi để biết tham khảo thêm các dự án bàn giao thiết bị đo đạc thành công tại Việt Thanh Group.




Be the first to review “Hệ trục tọa độ Descartes: Khái niệm và vai trò trong trắc địa”